Technical
| 客户服务热线: | |
|---|---|
| 王经理: | 18006372296 |
| 李经理: | 17801403376 |
| 固定电话: | 010-56014165 |
| 邮箱:bjist@bjist.cn | |
| 地址:北京市顺义区李遂镇市场南路1幢409号 | |
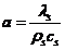
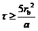
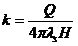
根据线源模型,地埋管换热器进出口平均温度与时间变化关系式为:
其中:
简化后,地埋管换热器进出口平均温度与时间变化关系式为:
其中:
测试数据将地埋管换热器进出口平均温度与时间进行对数拟合后,可直接求出系数,进而计算出导热系数和容积比热。

,.
。
,
。