Technical
| 客户服务热线: | |
|---|---|
| 王经理: | 18006372296 |
| 李经理: | 17801403376 |
| 固定电话: | 010-56014165 |
| 邮箱:bjist@bjist.cn | |
| 地址:北京市顺义区李遂镇市场南路1幢409号 | |
稳定工况测试方法能够计算单孔、单位延米地埋管换热器换热量以及单位长度地埋管换热器平均传热系数(简称传热系数)。
地埋管换热器的进水温度(tin)是人为设定的,能够稳定在某设定值(如35℃)。由于地下的换热过程是一个非稳态的换热过程,地埋管换热器的出水温度(tout)随着时间的增加逐渐接近地埋管换热器进水温度,换热量也就逐渐减小,直至稳定或无限趋近于0。因此必须在一个特定的时间段内计算地埋管换热器的换热量。首先需要确定基本稳定点,规定某时间点的地埋管换热器出水温度与12小时前的温度差值小于0.5℃,则该点即认为是基本稳定点。从基本稳定点到48小时的时间段内的数据作为有效数据,所有参数在有效数据区间的平均值作为计算标准,可计算在一定的运行工况(即地埋管换热器平均进水温度/平均出水温度、平均流量)下的平均换热量及单位延米换热量。
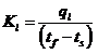
为了分析地埋管换热器的换热特性,提出单位长度地埋管换热器平均传热系数(简称传热系数)的概念。在数值上,传热系数等于单位延米地埋管换热器的换热量与地埋管换热器进出水平均温度和岩土的初始温度的差值的比值,单位为W/(m·K)。该参数是综合反映地埋管换热器施工条件、管材、岩土热物性、运行工况等众多因素的综合参数,可用于计算不同工况下地埋管换热器换热量及单位延米换热量。单位长度地埋管换热器平均传热系数计算公式:
K1同样也会随测试时间而发生变化,因此,其分析方法与地埋管换热器单位延米换热量方法相同,即求有效数据区间的平均值。冬季工况的分析方法与上面介绍的夏季工况的分析方法相同。通过K1可计算不同冬夏季工况下的地埋管换热器换热换热量(即变工况表)。
需要说明的是该数据分析方法仅考虑48小时内的连续运行效果,若实际建筑功能的不同导致连续运行时间不同,应在计算结论的基础上适当考虑富裕系数,以保证系统可靠运行。
